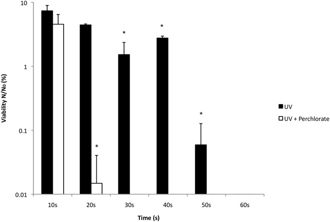
Figure 1
From: Perchlorates on Mars enhance the bacteriocidal effects of UV light

Effects of UVC-irradiated Mg(ClO4)2 on B. subtilis viability. UV = UVC irradiated control; Perchlorate = 0.6 wt% Mg(ClO4)2. p < 0.05 was considered statistically significant (*) among groups; error bars are + s.d. (n = 3).