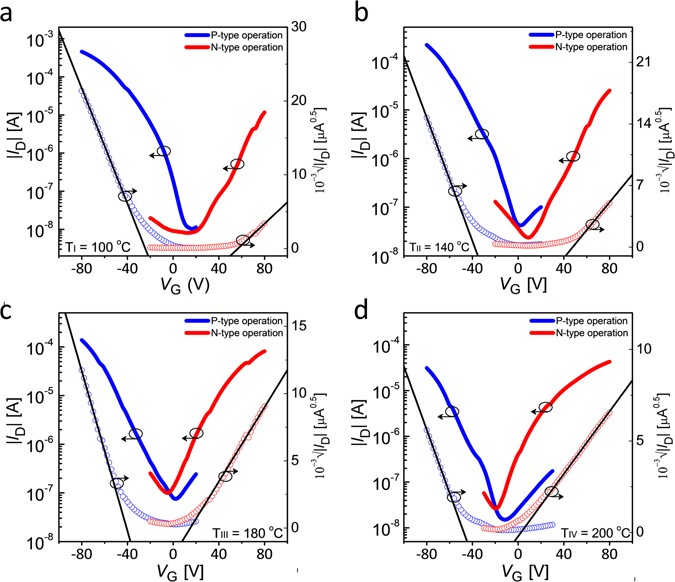
Figure 7
From: Balancing Hole and Electron Conduction in Ambipolar Split-Gate Thin-Film Transistors

Electrical transfer characteristics of PDPP3T split-gate ambipolar TFTs depending on vacuum annealing condition. (a) Measured transfer characteristics at (a) TI = 100 °C. (b) TII = 140 °C. (c) TIII = 180 °C. (d) TIV = 200 °C. Unipolar p-type operation at VD, VSIDE = −60 V. Unipolar n-type operation at VD, VSIDE = 60 V.