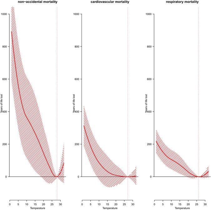
Figure 1

Overall cumulative exposure-response curves for the associations between temperature and years of life lost due to cause-specific mortality (non-accidental mortality, cardiovascular mortality, respiratory mortality) with 95% confidence intervals. The vertical lines represent the percentile of the minimum mortality temperature (dotted).