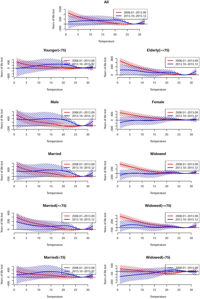
Figure 3

Overall cumulative exposure-response curves (with 95% confidence intervals) for the association between temperature and years of life lost due to non-accidental mortality during period I (Jan 2008 to Sep 2013, red) and period II (Oct 2013 to Dec 2015, blue).