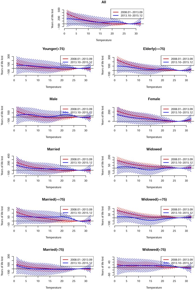
Figure 4

Overall cumulative exposure-response curves (with 95% confidence intervals) for the association between temperature and years of life lost due to cardiovascular mortality during period I (Jan 2008 to Sep 2013) (red) and period II (Oct 2013 to Dec 2015) (blue).