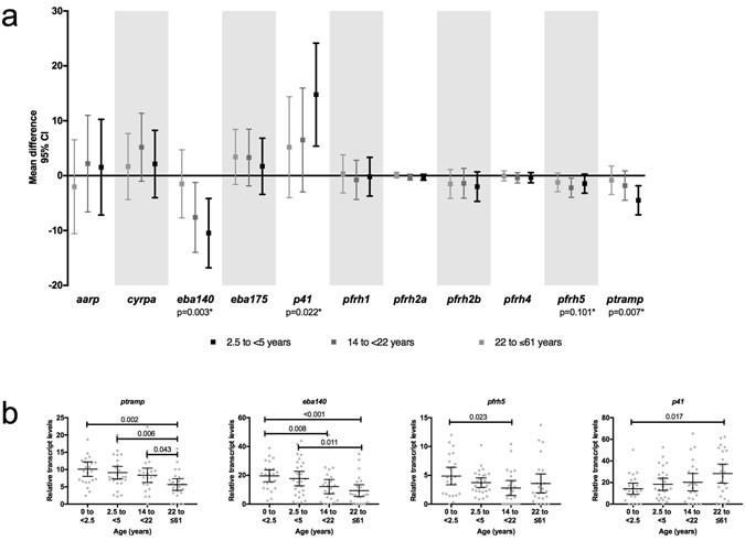
Figure 2

Association of age with invasion-related gene relative transcript levels. (a) Mean difference between age groups and 95% confidence interval from linear regression models, adjusted by density of infection, where the reference group was the youngest children (less than 2.5 years of age). *P-values from Wald’s test for significant associations of any age group with IRG relative transcript levels. (b) Relative transcript levels of IRG with significant associations with age by age groups. Significant differences between age groups by Wilcoxon rank-sum test are specified.