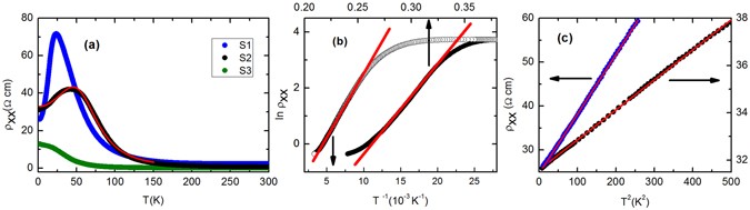
Figure 1

(a) Temperature dependence of the resistivity (ρ xx ) for Bi1.5Sb0.5Te1.7Se1.3 single crystals collected from two different batches. Crystals S1 and S2 were prepared by method II and S3 was prepared by method I. The red line is the fit to the experimental data with equation ρ xx = [1/ρ s + 1/ρ b ]−1, where ρ s ( = a + bT 2) and \({\rho }_{b}(={\rho }_{0}\exp {(\frac{{T}_{0}}{T})}^{\mathrm{1/4}})\) are respectively surface and bulk resistivity. (b) ln ρ xx as a function of 1/T (open symbol; bottom axis) for the activation behavior and as a function of T −1/4 (closed symbol; top axis) for the variable-range-hopping behavior for S2 crystal. (c) ρ xx is plotted against T 2. The linearity can be traced up to 16 K and 21 K for S1 and S2 crystals respectively, confirming the Fermi liquid behavior of the surface state.