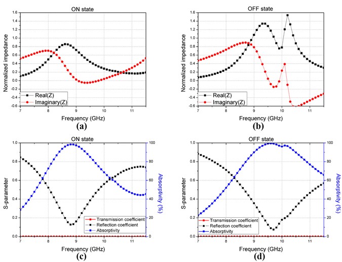
Figure 5
From: Electronically Switchable Broadband Metamaterial Absorber

Normalized complex intrinsic impedance at (a) ON state, (b) OFF state, the simulated reflection and transmission coefficient and absorptivity of the proposed absorber at (c) ON state, (d) OFF state.