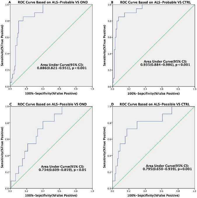
Figure 3

Receiver Operating Characteristic curves for distinguishing ALS-Probable/Possible patients from OND and CTRL. (A) The p75ECD cut-off value was 6.6945 (ng p75ECD/mg creatinine) between ALS-probable patients and OND; (B) The p75ECD cut off value was 5.4301 (ng p75ECD/mg creatinine) between ALS-probable patients and CTRL. (C) The p75ECD cut-off value was 2.7201 (ng p75ECD/mg creatinine) between ALS-possible patients and OND; (D) The p75ECD cut-off value was 3.4685 (ng p75ECD/mg creatinine) between ALS-possible patients and CTRL.