Figure 6
From: Inferring structural connectivity using Ising couplings in models of neuronal networks

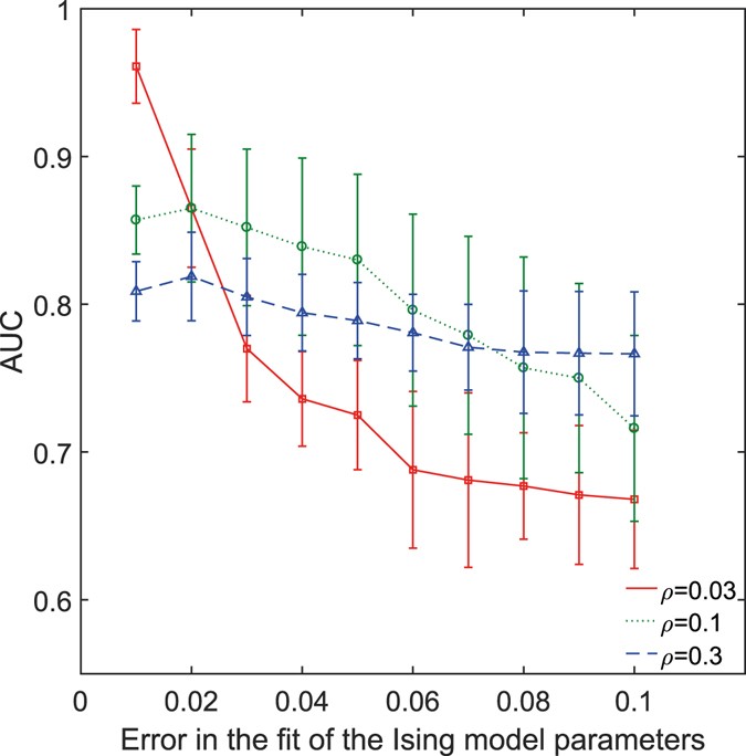
Effect of fit of the Ising model parameters on the inference of structural links. The error in the fit of the Ising model parameters is plotted against the AUC values obtained for the corresponding error levels for three mean network correlation levels (Ļ) and a fixed firing rate for scale-free networks of 30 neurons. In all cases, lower the error in the fit of the Ising model parameters, higher was the detection of links in the structural connectivity matrix.