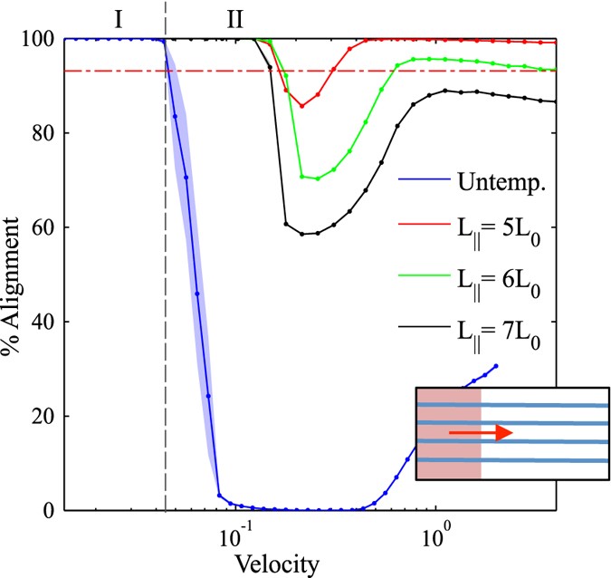
Figure 12

The percent alignment to within ±30 degrees of the direction parallel to the zone velocity for samples with parallel (horizontal) template stripes. The zone width is w zone = 80 \(\tilde{l}\). A shift in the transition velocity from Regions I to II is observed due to the presence of the template stripes. For comparison, the horizontal line shows average alignment of isothermally annealed samples with templating at L || = 5L 0 with annealing times equivalent to lowest velocity annealing times. Inset: template alignment (blue) is parallel to zone velocity (red).