Figure 4
From: TRAIL regulatory receptors constrain human hepatic stellate cell apoptosis

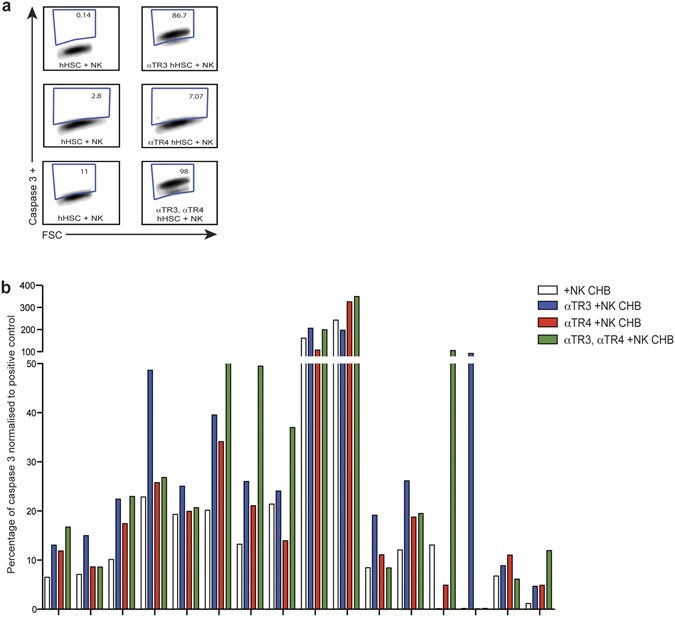
Blocking TRAIL-R3/4 on hHSC increases their susceptibility to NK cell mediated apoptosis. (a) FACS plots of induction of apoptosis (caspase3+) in hHSC co-cultured with NK cells from patients with hepatitis B with or without TRAIL-R3 or TRAIL-R4 blockade. (b) Percentage apoptosis of hHSC with an isotype blocking mAb (white) or with mAb blocking TRAIL-R3 (αTR3, blue), TRAIL-R4 (αTR4, red) or combination of αTR3 and αTR4 (green bars) upon NK cell co-culture. Responders whose NK cells induced >5% more apoptosis of hHSC with one or more strategy are shown, with %caspase3 induction normalised to the positive control (SuperKiller TRAIL) to adjust for inter-donor hHSC variability.