Figure 1
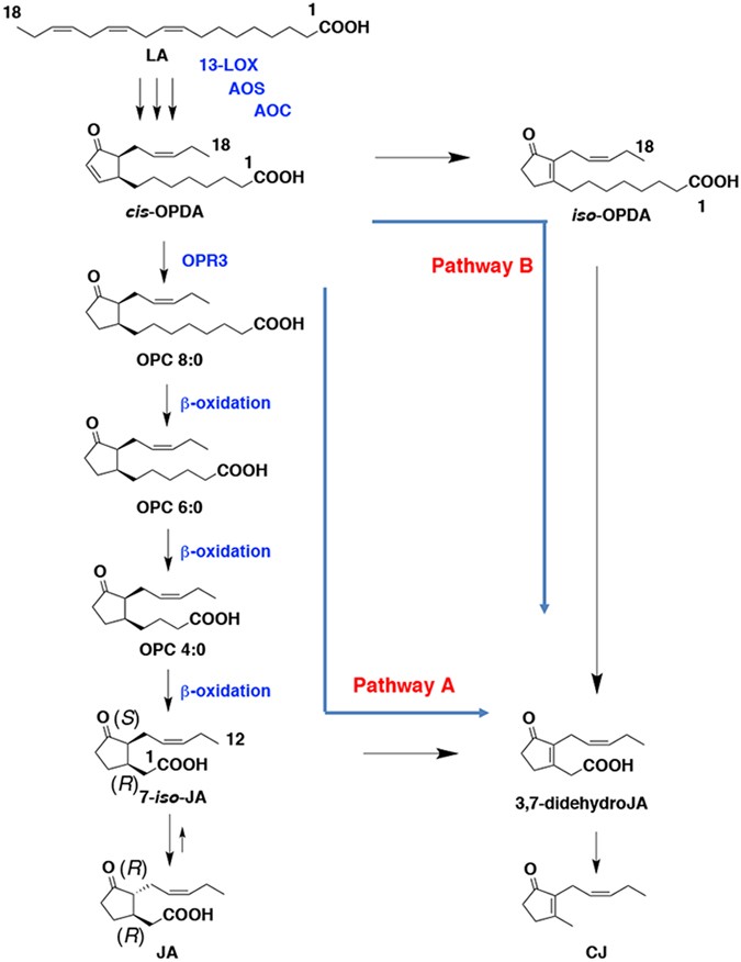
From: Elucidation of the biosynthetic pathway of cis-jasmone in Lasiodiplodia theobromae

Biosynthetic pathway to give CJ and JA. LA: α-linolenic acid, OPDA: 12-oxo-phytodienoic acid, OPC 8:0: 3-oxo-2-(2′-[Z]-pentenyl)-cyclopentane-1-octanoic acid, OPC 6:0: 3-oxo-2-(2′-[Z]-pentenyl)-cyclopentane-1-hexanoic acid, OPC 4:0: 3-oxo-2-(2′-[Z]-pentenyl)-cyclopentane-1-butanoic acid (OPC 4:0). 13-LOX: 13-lipoxygenase, AOS: alene oxide synthase, AOC: alene oxide cyclase, OPR3: 12-oxophytodienoate reductase 3.