Figure 1
From: Cryopreservation protocol for human biliary tree stem/progenitors, hepatic and pancreatic precursors

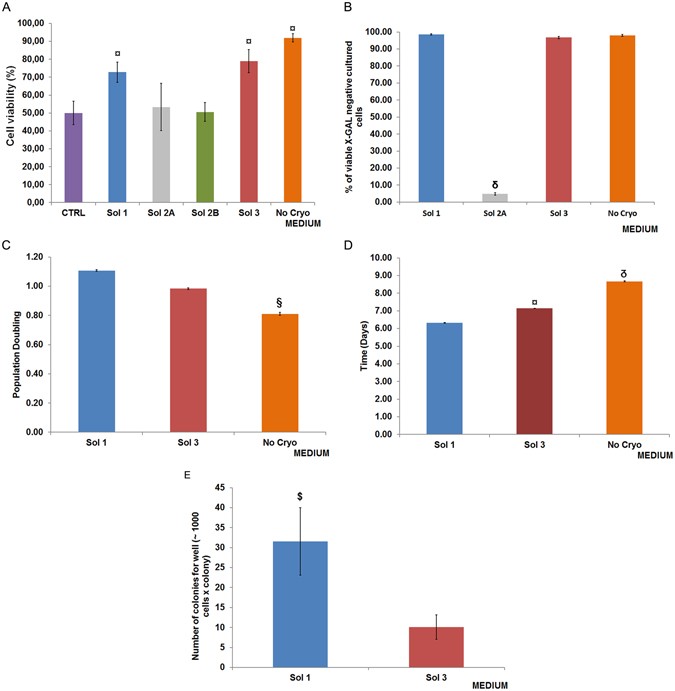
Biological cell functions after cryopreservation/thawing. (A) Cell viability was assessed by Trypan blue exclusion test after thawing the cells cryopreserved in different solutions (N = 9 experiments). Viability was significantly higher in solution 1 (Sol1) and Sol3 vs Sol2A, Sol2B, control solution (CTRL), and freshly isolated (No Cryo). No difference was found between Sol1 and Sol3. Data are expressed as mean ± SD of 9 experiments; ¤p < 0.001 Sol1 and Sol3 vs Sol2A, Sol2B, and CTRL; ¤p < 0.001 No Cryo vs all other Solution. Solution composition: Sol1 = Kubota Medium (KM), DMSO (10%), HSA (15%), hyaluronic acid (0.1%W/V); Sol2A = KM, hyaluronic acid (HA)(0.1%W/V), DMSO (10%); Sol2B = KM, HA (0.05% W/V), DMSO (10%); Sol3 = KM, DMSO (10%), HSA (15%); CTRL = KM, DMSO (10%), HSA (1.5%). (B) Cell senescence was evaluated by X-Gal test in cultures obtained from cryopreserved or freshly isolated cells (No Cryo) obtained from the same donors. Graphics show the percentage of X-Gal negative cells (non senescent cells). X-Gal negative cells exceeded 95% after cryopreservation. No difference was observed between Sol1 and Sol3, and among cryopreserved cells and fresh control cells (No Cryo). Sol2A demonstrated a massive senescence of cultured thawed cells (δp < 0.0001 vs others). Data are expressed as mean ± SD of 3 experiments. (C) Proliferation rate expressed as population doubling (PD) week rate in cultures of hBTSCs cryopreserved in Sol1, Sol3, and freshly isolated controls (No Cryo). Cryopreserved cells (Sol1 and Sol3) demonstrated a higher PD week rate with respect non-cryopreserved cells (§p < 0.01). Data are expressed as mean ± SD of 8 experiments. (D) Population Doubling Time (PDT) appeared lower in Sol1 (with HA) than Sol3 (without HA) and freshly isolated controls (No Cryo)(¤p < 0.001 vs others), and in Sol3 vs freshly isolated controls (No Cryo) (
p < 0.0001 vs No Cryo). Data are expressed as mean ± SD of 8 experiments. E) The number of colonies was counted at day 3 of culture. HA-coated hBTSCs and uncoated hBTSCs were compared. Graphics illustrate the number of colony formed after thawing cells cryopreserved in Sol1 and Sol3. A higher number of colonies (31.56 ± 8.43) developed in cultures from Sol1 than Sol3 (10.11 ± 3.85)($p < 0.000001). Data are expressed as mean ± SD of 18 experiments.