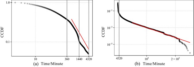
Figure 7
From: Cumulative Dynamics of Independent Information Spreading Behaviour: A Physical Perspective

Complementary Cumulative Distribution Function (CCDF) of the waiting time for retweeting. (a) The distribution of Ï„ within a relatively small time span. The tail is approximately a straight line. (b) The distribution of Ï„ at a larger time span. The tail is likely to be exponential.