Figure 8
From: Cumulative Dynamics of Independent Information Spreading Behaviour: A Physical Perspective

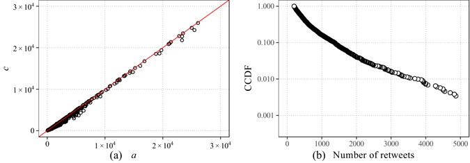
(a) The scatterplot for parameter a and c. (b) Complementary Cumulative Distribution Function (CCDF) of the number of retweets of original tweets. The approximate straight line on a single-log plot indicates the possibility of an exponential distribution.