Figure 9
From: Cumulative Dynamics of Independent Information Spreading Behaviour: A Physical Perspective

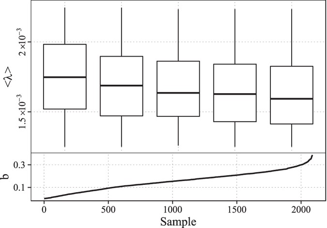
The variation of the relaxation exponent b and the distribution of the parameter λ of the exponential model fitted to groups of \({r}_{act}\).
From: Cumulative Dynamics of Independent Information Spreading Behaviour: A Physical Perspective

The variation of the relaxation exponent b and the distribution of the parameter λ of the exponential model fitted to groups of \({r}_{act}\).