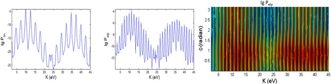
Figure 3
From: Effects of ultrashort laser pulses on angular distributions of photoionization spectra

Photoionization probability versus angle Φ at Θ = π/2 (in x-y plane) and kinetic energy (K) with t p = 100 fs for linear and elliptical polarized lasers for the Case A (intermediate regime) whose laser field amplitude \({ {\mathcal E} }_{0}\) and frequency ω are tabulated in Fig. 1. The 2D spectra correspond to the end point of Φ = π. Here, there is no first and second order Stark effects, \({a}_{nlm}={b}_{nlm}=0\) and the CEP phase φ = 0. We do not show the 3D plot for linear polarization since it has azimuthal symmetry and therefore independent of angle Φ.