Figure 8
From: Effects of ultrashort laser pulses on angular distributions of photoionization spectra

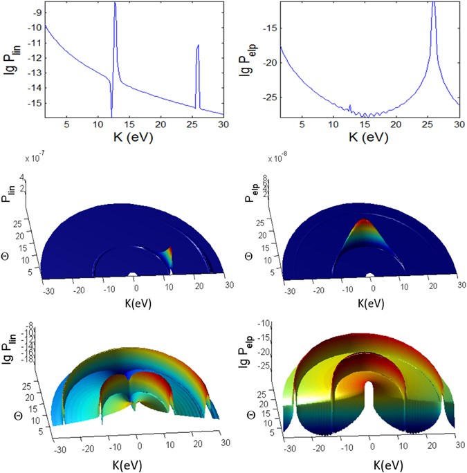
Same as Fig. 6 (photoionization probability for t p = 100 fs, versus Θ at Φ = 0 and K) but for Case C characterizing the MPI regime.
From: Effects of ultrashort laser pulses on angular distributions of photoionization spectra

Same as Fig. 6 (photoionization probability for t p = 100 fs, versus Θ at Φ = 0 and K) but for Case C characterizing the MPI regime.