Figure 6

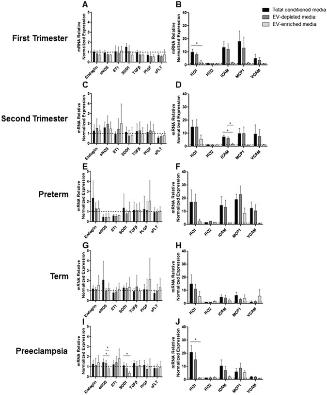
HUVECs were treated with total, EV-depleted and EV-enriched media from (A,B) first trimester, (C,D) second trimester, (E,F) preterm, (G,H) term and (I,J) PE placentas for 24 hr.

HUVECs were treated with total, EV-depleted and EV-enriched media from (A,B) first trimester, (C,D) second trimester, (E,F) preterm, (G,H) term and (I,J) PE placentas for 24 hr.