Figure 2
From: Hybrid normal metal/ferromagnetic nanojunctions for domain wall tracking

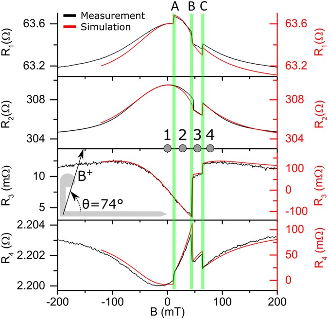
Magnetoresistance versus applied field for different measurement geometries: black - experimental and red – micromagnetic modelling results. Magnetic field is applied at θ = 74°, ramping from negative to positive saturation values. Longitudinal resistance along device corner (R 1) and straight wire (R 2), hybrid junction resistance across a straight wire (R 3), and hybrid junction resistance across device corner (R 4) (see Fig. 1 for electrical set-up).