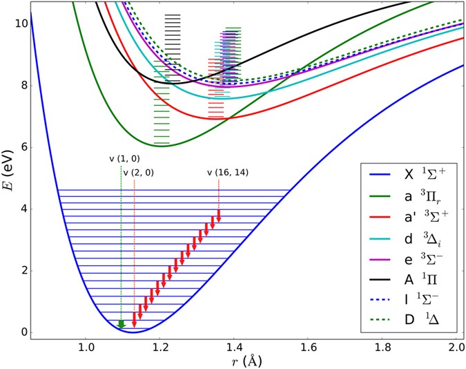
Figure 5
From: High Energy Radical Chemistry Formation of HCN-rich Atmospheres on early Earth

Potential energy surfaces for CO in several excited electronic states. The rotational-vibration transitions together with the second harmonic band transition have been observed up to vibrational level v = 16 (inside of fundamental X1Σ+ electronic state) using infrared emission time resolved spectroscopy of electric discharge are marked in green and red respectively.