Figure 2
From: The switching of strong spin wave beams in patterned garnet films

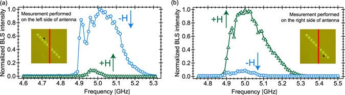
Experimental demonstration of the switching of spin waves with change of the magnetic field orientation. Normalized BLS intensity spectrum as a function of frequency, measured on the left (a) and right (b) of the microwave antenna for a laser light spot (black dot in the insets) near the right and left side of the antidots, with two magnetic field orientations, +H and −H, respectively, at H = 980 Oe.