Figure 2
From: Revealing higher than expected meiofaunal diversity in Antarctic sediments: a metabarcoding approach

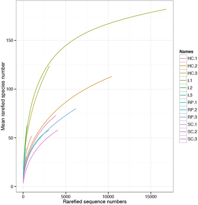
Operational taxonomic unit saturation profiles at 99% sequence similarity level, for the. Antarctic samples collected. Hangar Cove (HC), Islands (I), Rothera Point (RP) and South Cove (SC), where 1–3 represent each sample replicate.