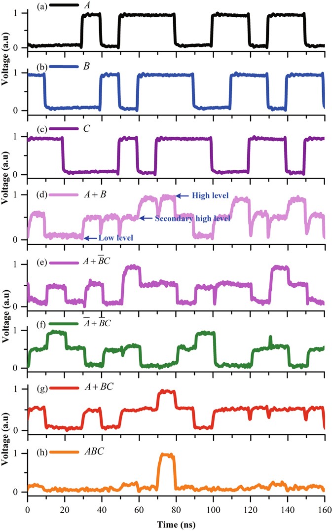
Figure 7

Logic operation results of the device with three-operand ((a–c) represent the operands applied to MRRs, and (d–h) represent the logic operation results).

Logic operation results of the device with three-operand ((a–c) represent the operands applied to MRRs, and (d–h) represent the logic operation results).