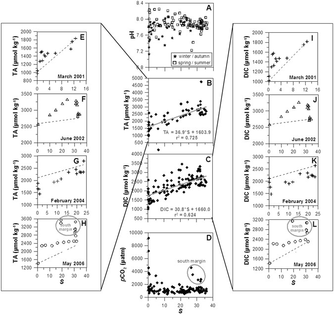
Figure 5
From: Inorganic carbon distribution and CO2 fluxes in a large European estuary (Tagus, Portugal)

Mixing curves for (A) pH, (B) total alkalinity (TA), (C) dissolved inorganic carbon (DIC) and (D) CO2 partial pressure (pCO2) for all 10 surveys data undertaken in Tagus estuary. TA anomalies in (E) March 2001, (F) June 2002, (G) February 2004 and (H) May 2006. DIC anomalies in (I) March 2001, (J) June 2002, (K) February 2004 and (L) May 2006.