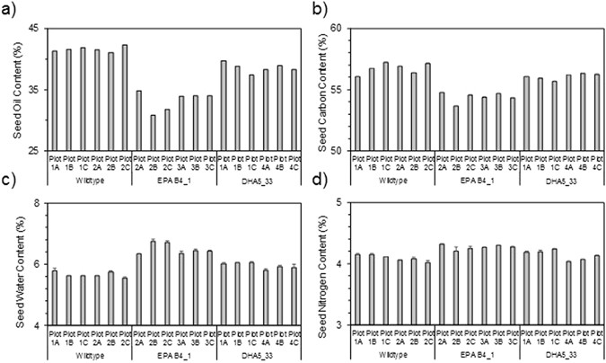
Figure 4

Seed yield and agronomic performance. (a) Total seed oil (n = 6+/− SE); (b) carbon (n = 6+/− SE); (c) water (n = 19+/− SE) and (d) nitrogen (n = 6+/− SE) content was determined and presented for each sub-plot of the field grown C. sativa.

Seed yield and agronomic performance. (a) Total seed oil (n = 6+/− SE); (b) carbon (n = 6+/− SE); (c) water (n = 19+/− SE) and (d) nitrogen (n = 6+/− SE) content was determined and presented for each sub-plot of the field grown C. sativa.