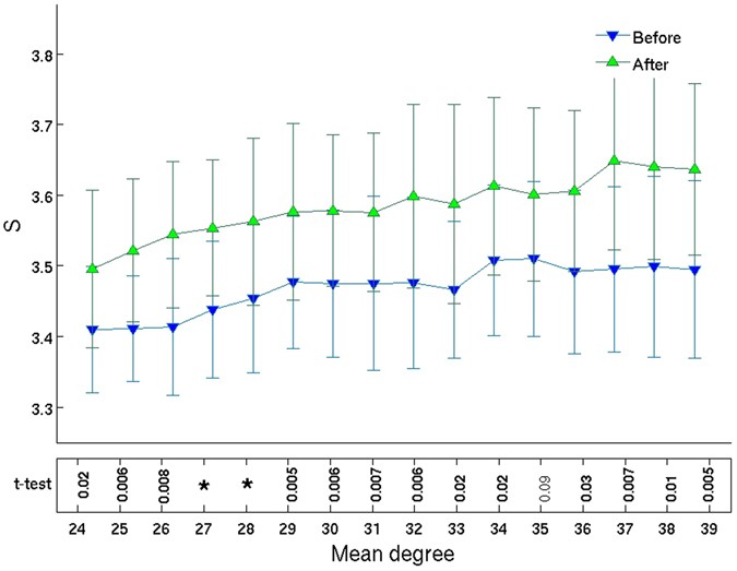
Figure 3

Entropy grows after Ayahuasca ingestion. Mean ± 1 standard deviation of the Shannon entropy of the distribution of node degrees, calculated over all 7 subjects, as a function of mean degree k, before (blue ∇) and after (green Δ) Ayahuasca intake. The bottom row lists p-values for Student’s paired t-test, with values p < 0.005 indicated by asterisks (*). (Confidence intervals are shown in Supplementary Figure S5). We thus see evidence against the null hypothesis of no change in entropy. Indeed, we find a significant increase in the entropy of the degree distributions after Ayahuasca ingestion. This entropy increase is the main result that we report.