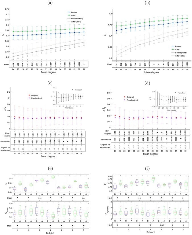
Figure 6

Local efficiency and integration increase. Clustering coefficient C (right column) and local efficiency E l (left column). Plots (a) and (b) show means ± 1 standard deviations, calculated from the complex networks of all 7 subjects, as well as from their corresponding iso-entropic randomized networks, for 16 different mean degrees. Plots (c) and (d) show the change in C and E l after Ayahuasca ingestion. The inset shows normalized values (see text). Boxplots (e) and (f) show the same information, subject-by-subject. As before, the rows below the plots show p-values for the t-test, with asterisks (*) indicating p < 0.005.