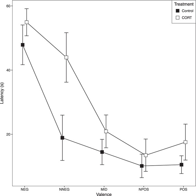
Figure 2

Birds treated with corticosterone (CORT) were more pessimistic than control birds in trials in which the cone was placed at the near-negative location (NNEG). Line graph showing the mean ± 1 SEM latencies of the birds in the two treatment groups to approach the cone at each of the five locations in the judgment bias test. The significant valence x treatment interaction (see text for details) occurs because the CORT birds were slower to approach the NNEG cone than the control birds.