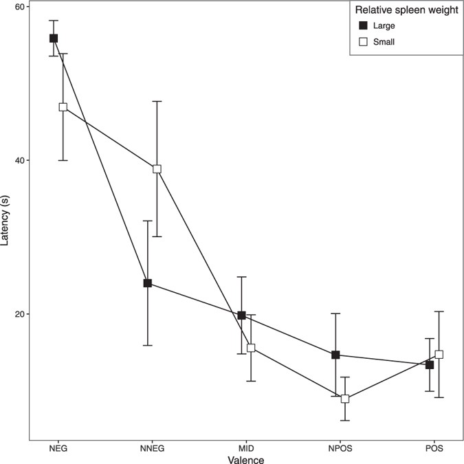
Figure 4

Birds with relatively smaller spleens are more pessimistic in trials in which the cone was placed at the near-negative location (NNEG). Line graph showing the mean ± 1 SEM latencies of the birds in two relative spleen size groups to approach the cone at each of the five locations in the judgment bias test. The two spleen size groups were obtained via a median split of the data; note that this is for visualisation purposes only, and the statistical model reported in the text modelled relative spleen size as a continuous variable. The significant valence x relatively spleen size interaction (see text for details) occurs because the birds with relatively small spleens were slower to approach the NNEG cone.