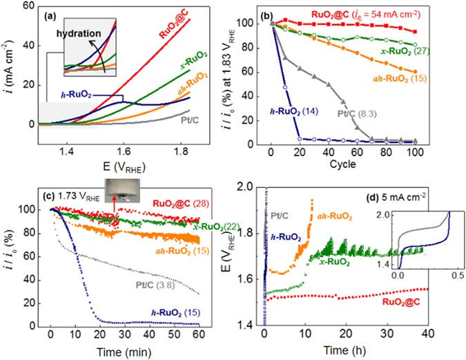
Figure 4

OER in N2-saturated 0.1 M KOH (aq). (a) OER polarization curves at 1,600 rpm for the first potential sweep cycles at 10 mV s−1. (b) OER current retention at 1.83 VRHE during repeated cyclic voltammograms. (c) Chronoamperometric stability of OER at 1.73 VRHE for 60 min in 0.1 M KOH. The initial currents are indicated next to the names of the catalysts. (d) Chronopotentiometric stability of OER at 5 mA cm−2 for 40 h.