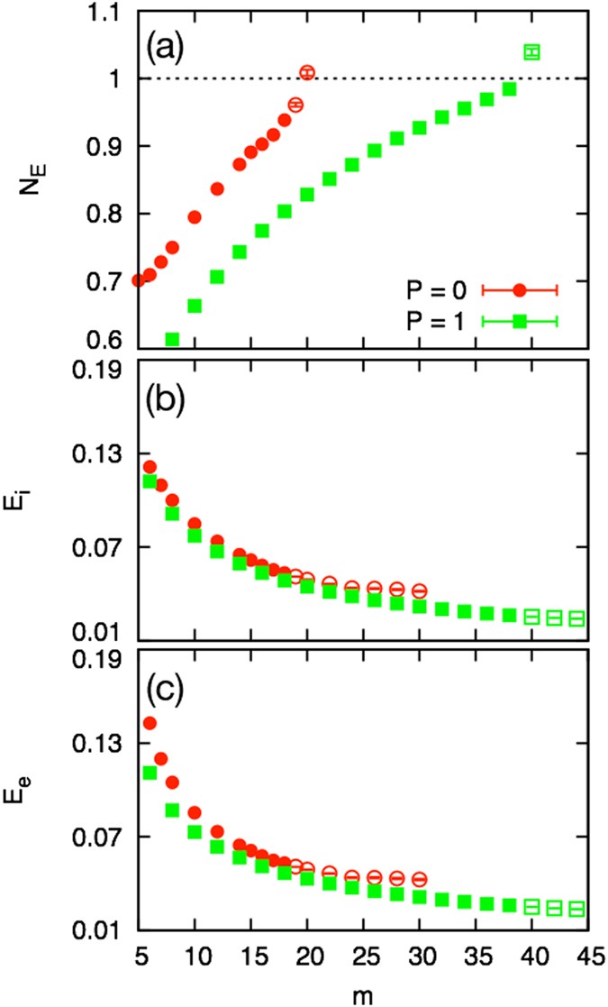
Figure 3

The mean-field approximation predictions of the transition points. (a) Estimation of the transition point from the diverging phase to the finite phase. The average number of total extinctions, \({N}_{E}^{P\mathrm{=0}}\) (circles) and \({N}_{E}^{P\mathrm{=1}}\) (boxes), increases monotonically as a function of m. They cross the critical value 1 at m * = 19.5 for the unidirectional model and at 2M * = 39 for the bidirectional model. Both of m * and 2M * agree well with the real transition points \({m}_{C}^{P\mathrm{=0}}=18.5\) and \(2{M}_{C}^{P\mathrm{=1}}=39\). (b) Extinction probability E i . (c) Extinction probability E e . For the unidirectional model (circles) and the bidirectional model (boxes) with the same unidirectional link degree of a newly incoming species m, the extinction probabilities E i and E e of the bidirectional model are smaller than the corresponding probabilities of the unidirectional model.