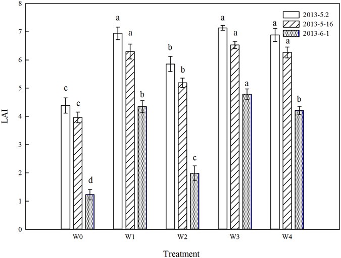
Figure 3

Changes of leaf area index (LAI) at May 2, May 16, and June 1 in 2013 of different treatments in 2012/2013 growing season: rainfed (W0), a local supplemental irrigation practice with 60 mm of irrigation each at jointing and anthesis (W1), supplemental irrigation determined by measuring 0–20 cm (W2), 0–40 cm (W3), and 0–60 cm (W4) soil layers moisture and brought the soil moisture to 65% field capacity (FC) at jointing and 70% FC at anthesis. At the same measuring day, the different letters in the figure are significant at the 0.05 level. Vertical bars are standard error of the mean (n = 3).