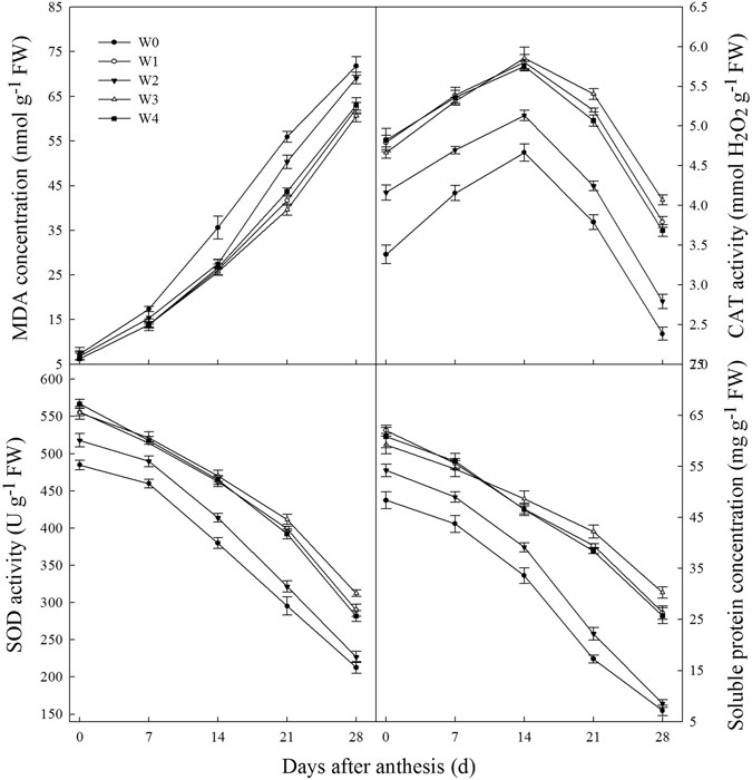
Figure 6

Changes of malondialdehyde (MDA) concentration, catalase (CAT) and superoxide dismutase (SOD) activities, and soluble protein concentration in flag leaves of wheat to different treatments in 2012/2013 growing seasons: rainfed (W0), a local supplemental irrigation practice with 60 mm of irrigation each at jointing and anthesis (W1), supplemental irrigation determined by measuring 0–20 cm (W2), 0–40 cm (W3), and 0–60 cm (W4) soil layers moisture and brought the soil moisture to 65% field capacity (FC) at jointing and 70% FC at anthesis. The vertical bars represent standard error of the mean (n = 3).