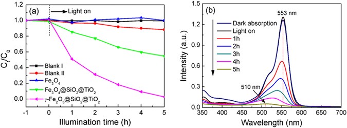
Figure 7
From: Corn-like, recoverable γ-Fe2O3@SiO2@TiO2 photocatalyst induced by magnetic dipole interactions

(a) Normalized concentration Ct/C0 of RhB as a function of illumination time for Blank and different samples, (b) the UV-vis absorption spectra of RhB in the presence of γ-Fe2O3@SiO2@TiO2 sample as a function of illumination time.