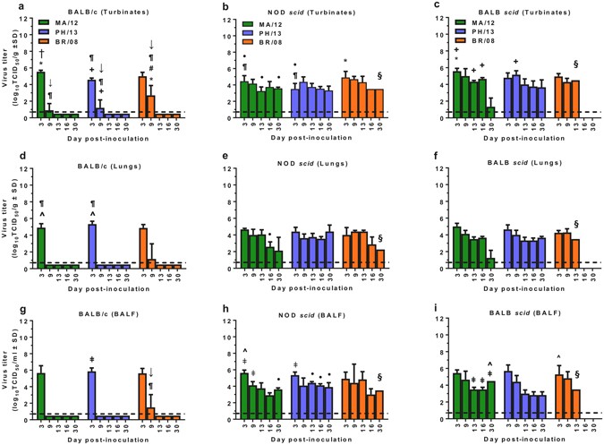
Figure 2

Influenza B virus load and duration of replication in immunocompetent and immunocompromised mice. BALB/c, NOD scid, and BALB scid mice were lightly anesthetized with isoflurane and inoculated intranasally with 104 TCID50/mouse of influenza PH/13 (blue bars), MA/12 (green bars), or BR/08 (orange bars) virus. Virus titers were determined in the nasal turbinates (a–c), lungs (d–f), and BALF (g–i) of mice (n = 3/group/time-point) at 3, 9, 13, 16, and 30 dpi by TCID50 assays in MDCK cells. The bars represent the mean virus titers ± SD (log10TCID50/mL) for each time-point. Dashed lines indicate the minimum level of virus detection (0.75 log10TCID50/mL). *P < 0.05, relative to PH/13; # P < 0.05, relative to MA/12; † P < 0.05, relative to BR/08; + P < 0.05 for virus titers in nasal turbinates versus lungs; ǂ P < 0.05 for virus titers in nasal turbinates versus BALF; ^P < 0.05 for virus titers in lungs versus BALF; ¶ P < 0.05 for virus titers in BALB/c versus NOD scid mice; ↓ P < 0.05 for virus titers in BALB/c versus BALB scid mice; and • P < 0.05 for virus titers in NOD scid mice versus BALB scid mice, as determined by one-way ANOVA with Bonferroni’s multiple comparison post-test. §Detection in one mouse only.