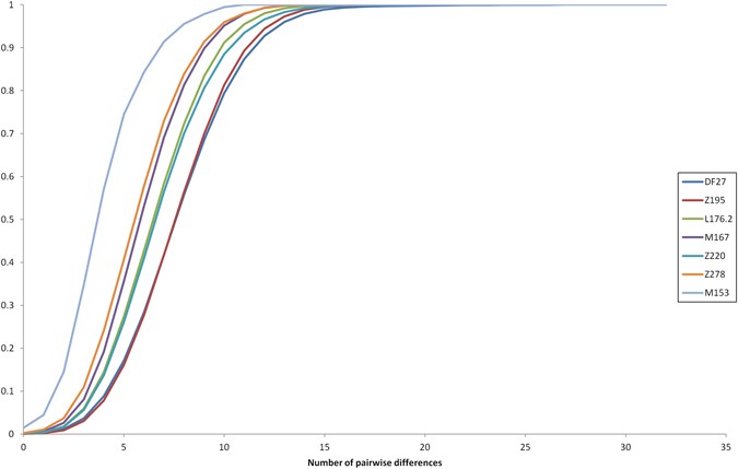
Figure 5

Cumulative distributions of the number of pairwise absolute differences in repeat size among individuals, by subhaplogroup.

Cumulative distributions of the number of pairwise absolute differences in repeat size among individuals, by subhaplogroup.