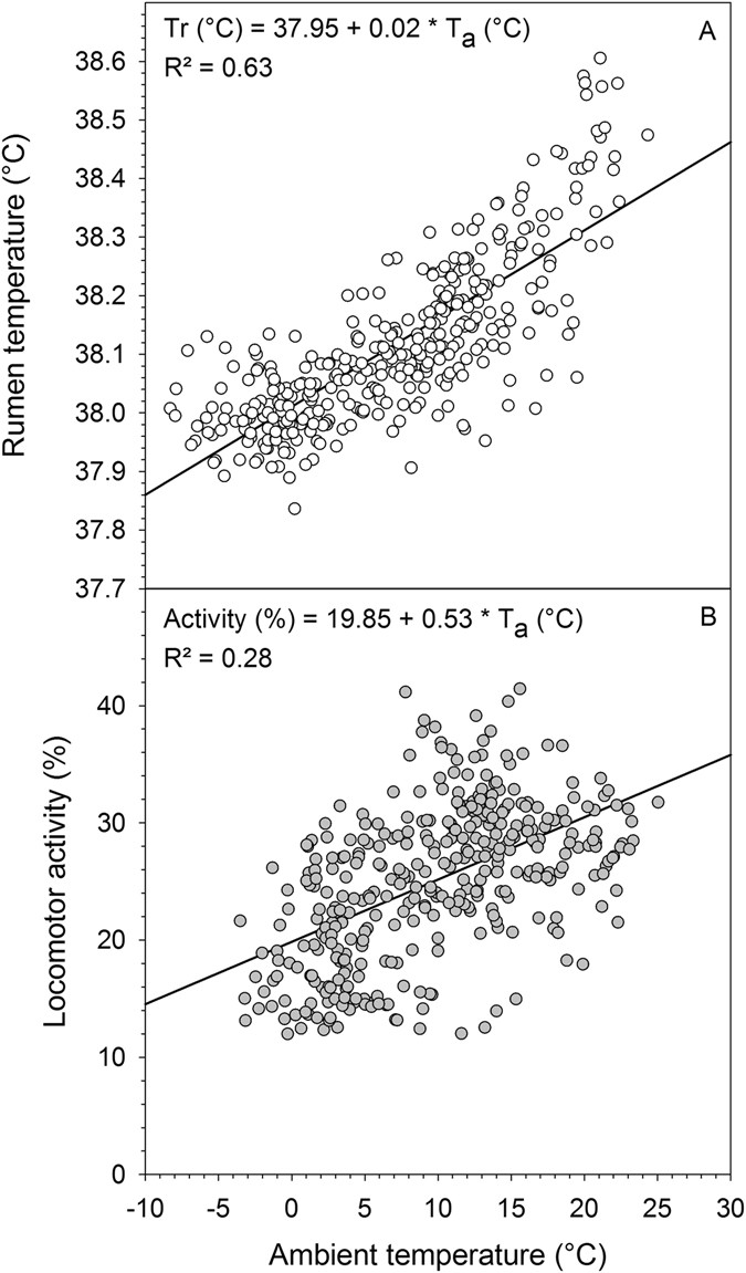
Figure 3

Rumen temperature and locomotor activity in llamas in relation to ambient temperature. Panels show the relationship between average daily ambient temperature (Ta) and average daily rumen temperature (Tr, A) and average daily locomotor activity (B) in adult non-pregnant llama dams (N = 7) during one year under Central European conditions.