Figure 4
From: Neuroprosthetic-enabled control of graded arm muscle contraction in a paralyzed human

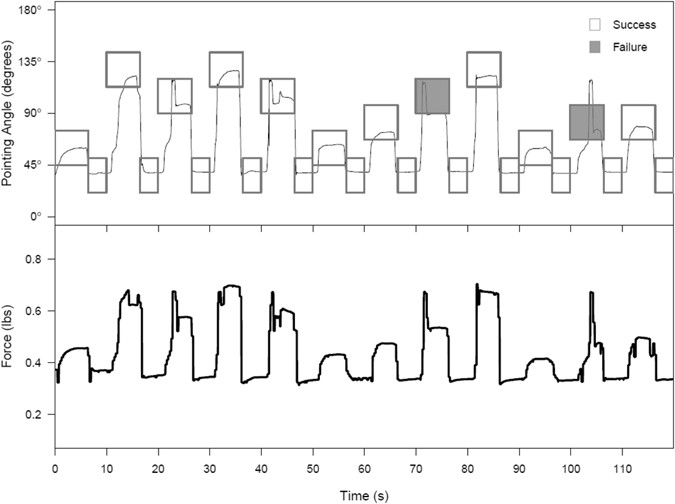
The participant generated graded muscle contractions to pull against resistance and point at various target angles. The top figure shows the cued angle (rectangles) and the angle at which the participant was pointing (solid black line) for the first training block. If the participant was successful for a given cue (within 15° of the cue for 2 s continuously), the rectangle is clear; if he failed the cue, it is shaded gray. The bottom figure shows the force measurement in pounds as measured by the load cell aligned in time for the same block. The force exerted closely tracks the wrist flexion as measured by the pointing angle (correlation coefficient 0.933 ± 0.006).