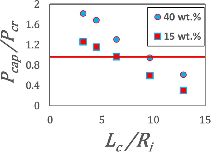
Figure 5
From: Confinement suppresses instabilities in particle-laden droplets

Buckling Criteria. Ratio of capillary pressure and critical pressure required for buckling for various normalized channel lengths (L c ). R i  ≈ 1.52 is the initial droplet meridional radius. Red line marks the transition from buckling (>1) to non-buckling regime (<1).