Figure 2
From: Photonic Spin Hall Effect in Waveguides Composed of Two Types of Single-Negative Metamaterials

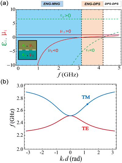
Effective parameters and the dispersion relationship based on the TLs. (a) Effective parameters of two kinds of materials in a waveguide (see inset). The parameters can be divided into three regions labeled by three different colors. The permittivity and permeability are shown by the dashed and solid lines, respectively. (b) Dispersion relations of guided modes in ENG/MNG waveguides for TE polarization (the red line) and TM polarization (the blue line), respectively.