Figure 2
From: Facile fabrication of complex networks of memristive devices

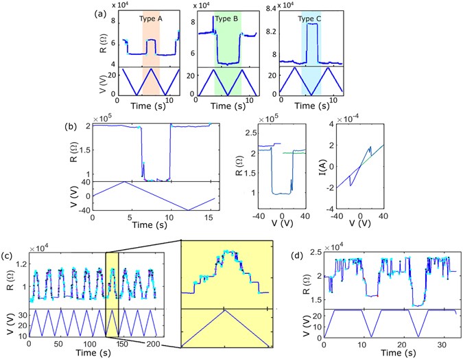
Examples of characteristic switching events. (a) The three simplest types of events are reported: resistance increase at high voltage (pink region); resistance decrease at low voltages (green region); and resistance increase at low voltage (blue region). These archetypes are referred to as Type A, B and C respectively. (b) Example of bipolar switching occurring while the voltage is ramped between positive and negative Vmax values. The R(t), R(V) and I(V) curves are shown. (c) Examples of highly reproducible sequences of multiple overlapping switching events on consecutive cycles resulting in ‘anti-potentiation’; in the inset: multiple well-resolved events resulting in a ‘Mayan pyramid’ R(t) profile. (d) Switching events recorded at high voltage.