Figure 2
From: Microbial community analysis of apple rhizosphere around Bohai Gulf

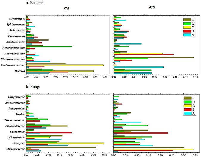
Relative abundances of the dominant bacterial (a) and fungal (b) groups in PAT and ATS rhizosphere soil. The “A”, “B”, “C”, “D” and “E” refers to the five sampling sites: Qixia, Muping, Laizhou, Huludao and Changli, respectively.