Figure 3
From: Ranking of Nodal Infection Probability in Susceptible-Infected-Susceptible Epidemic

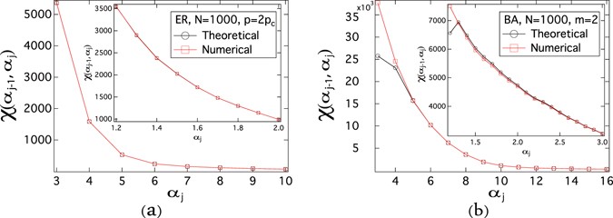
The number χ(α j−1, α j ) of crossings as a function of the normalized effective infection rate α j . For ER graphs, we employ the link density p = 2p c , thus the average degree E [D] = 14, the size N = 1000 and the NIMFA epidemic threshold \({\tau }_{c}^{\mathrm{(1)}}\approx 0.0673\). For BA graphs, we employ the number of newly added links in each step m = 2, thus the average degree E [D] = 4, the size N = 1000, and the NIMFA epidemic threshold \({\tau }_{c}^{\mathrm{(1)}}\approx 0.0902\). The meta-stable infection probability v k∞ is obtained by solving (11) and the number χ(α j−1, α j ) of crossings is obtained by (1). The results are averaged over 10 realizations.