Figure 4
From: Ranking of Nodal Infection Probability in Susceptible-Infected-Susceptible Epidemic

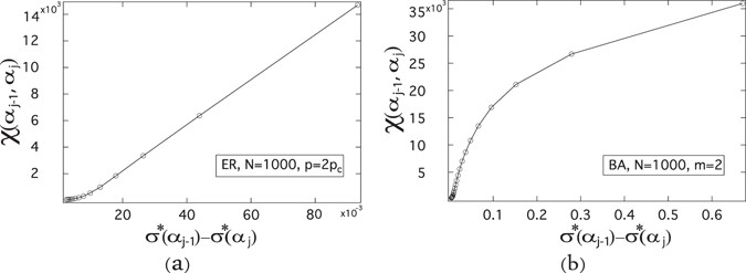
The number χ(α j−1, α j ) of crossings as a function of the difference σ*(α j−1) − σ*(α j ) of the normalized standard deviation of the metastable infection probability. For ER graphs, we employ the link density p = 2p c , thus the average degree E [D] = 14, and the size N = 1000 (the NIMFA epidemic threshold \({\tau }_{c}^{\mathrm{(1)}}\approx 0.0673\)). For BA graphs, we employ the minimum degree m = 2, thus the average degree E [D] = 4, and the size N = 1000 (the NIMFA epidemic threshold \({\tau }_{c}^{\mathrm{(1)}}\approx 0.0902\)). The meta-stable infection probability v k∞ is obtained by solving (11), the number χ(α j−1, α j ) of crossings is obtained by (1) and the value of σ*(α) is obtained by (7). The results are averaged over 10 realizations.