Figure 5
From: Ranking of Nodal Infection Probability in Susceptible-Infected-Susceptible Epidemic

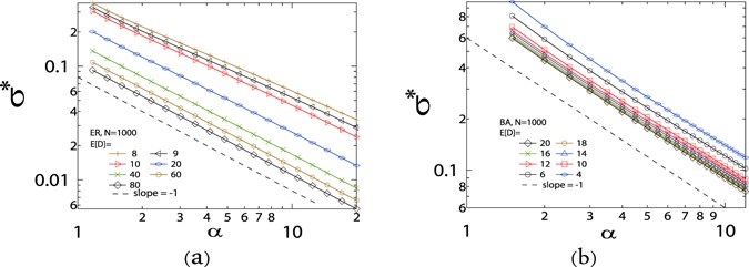
The normalized standard deviation σ* of infection probabilities of all nodes as a function of α in (a) ER and (b) BA random graphs. The dash line is a power-law curve with the exponent γ = −1. The sizes of all random graphs are 1000 and the average degree E [D] is shown in the figures. The meta-stable infection probability v k∞(α) is obtained by solving (11) and the value of σ*(α) is obtained by (7). The NIMFA epidemic threshold \({\tau }_{c}^{\mathrm{(1)}}\approx 0.1097\), 0.0993, 0.0902, 0.0476, 0.0244, 0.0164 and 0.0124 for ER random graphs with the average degree E [D] = 8, 9, 10, 20, 40, 60 and 80 respectively, and \({\tau }_{c}^{\mathrm{(1)}}\approx 0.0902\), 0.0698, 0.0479, 0.0416, 0.0368, 0.0329, 0.0300 and 0.0274 for BA random graphs with the average degree E [D] = 4, 6, 10, 12, 15, 16, 18 and 20 respectively. The results are averaged over 10 realizations.