Figure 4
From: Multiple electron transporting layers and their excellent properties based on organic solar cell

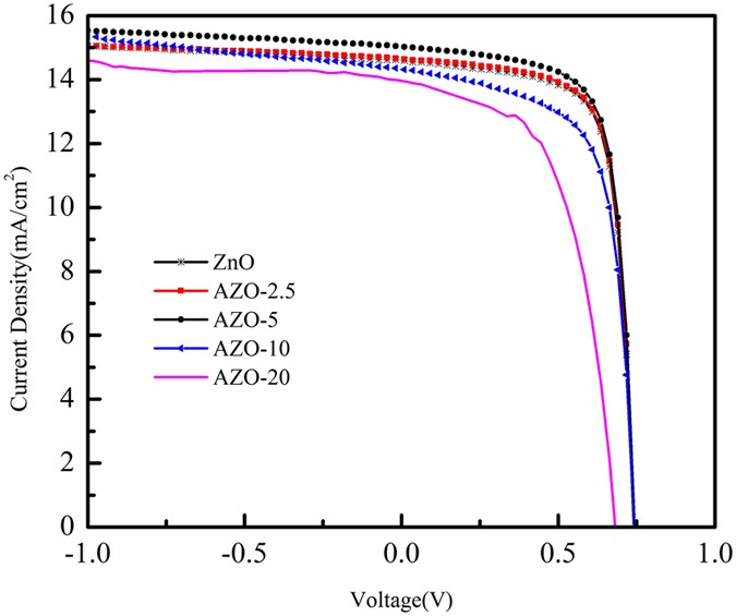
J–V curves of ITO/ZnO(5 nm)/PTB7:PC71BM:ICBA/MoO3/Ag and ITO/AZO-x (x: 2.5,5,10,20; 5 nm)/PTB7: PC71BM:ICBA/MoO3/Ag devices.
From: Multiple electron transporting layers and their excellent properties based on organic solar cell

J–V curves of ITO/ZnO(5 nm)/PTB7:PC71BM:ICBA/MoO3/Ag and ITO/AZO-x (x: 2.5,5,10,20; 5 nm)/PTB7: PC71BM:ICBA/MoO3/Ag devices.