Figure 1
From: Enhancing Immune Responses to Cancer Vaccines Using Multi-Site Injections

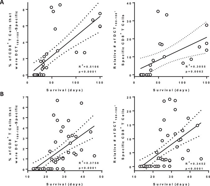
Survival correlated with the magnitude of antigen-specific blood-derived CD8+ T-cell responses in prophylactic and therapeutic models of metastatic brain cancer. Female C57BL/6 mice had 1,000 B16-F10 melanoma cells stereotactically implanted into the parenchyma of the right hemisphere of the brain. (A) Eleven days prior to, or (B) five days after intracranial challenge, mice were vaccinated intramuscularly with 1 × 108 pfu of recombinant human serotype 5 adenovirus expressing the melanoma-associated antigen dopachrome tautomerase, with injections administered into the semitendinosus of both hind limbs. Blood-derived CD8+ T cells specific for the immunodominant self-epitope DCT180–188 were quantified fourteen days post-vaccination by flow cytometric assessment of intracellular cytokine staining after ex vivo re-stimulation with peptides (supplementary Figure 1). Pearson correlation analysis was performed for overall survival versus frequency (left panel; n = 33 for [A] and 52 for [B]) and total number (right panel; n = 23 for [A] and 52 for [B]; pooled from five and ten experimental replicates, respectively) of antigen-specific CD8+ T cells. Lines of best fit with 95% confidence intervals are shown.