Figure 1
From: Identification of ciguatoxins in a shark involved in a fatal food poisoning in the Indian Ocean

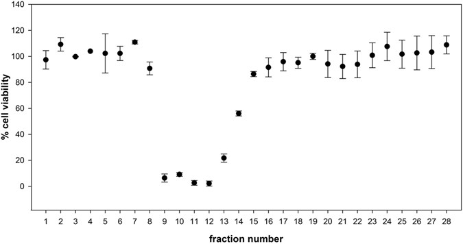
Toxicity of stomach fractions by cell-based assay (CBA). Toxicity was estimated according to the cell viability obtained after exposing cells to 0.27 µL of each fraction/mL. Error bars represent standard deviation (SD) values for 3 replicates (n = 3).